Armature Voltage Drop Formula

Chapter 2 Latest

Chapter 2 Latest

Armature Voltage An Overview Sciencedirect Topics

Armature Voltage An Overview Sciencedirect Topics

Electrical And Instrumentation Engineering Condition For Maximum Power Of Dc Motor

Electrical And Instrumentation Engineering Condition For Maximum Power Of Dc Motor

What Is The Relationship Between Armature Voltage And Torque In A Shunt Motor

What Is The Relationship Between Armature Voltage And Torque In A Shunt Motor

Dc Generator Types Of Generators Generators Are Usually Classified According To The Way In Which Their Fields Are Excited The Classification Of Dc Generator Ppt Video Online Download

Dc Generator Types Of Generators Generators Are Usually Classified According To The Way In Which Their Fields Are Excited The Classification Of Dc Generator Ppt Video Online Download

D C Motor Speed Of A D C Motor Electric Equipment

D C Motor Speed Of A D C Motor Electric Equipment

D C Motor Speed Of A D C Motor Electric Equipment

Unit 3

Unit 3

Ppt 3 Armature Voltage And Govering Equations Powerpoint Presentation Id 3432615

Ppt 3 Armature Voltage And Govering Equations Powerpoint Presentation Id 3432615

Https Www Philadelphia Edu Jo Academics Mlazim Uploads Pe 20tutorial 205 Pdf

Https Www Philadelphia Edu Jo Academics Mlazim Uploads Pe 20tutorial 205 Pdf

A Dc Shunt Motor Is Running At Light Load What Happens If The Field Winding Gets Opened

A Dc Shunt Motor Is Running At Light Load What Happens If The Field Winding Gets Opened

Speed Control Of Dc Motor Armature Resistance Control And Field Flux Control Circuit Globe

Speed Control Of Dc Motor Armature Resistance Control And Field Flux Control Circuit Globe

Speed Control In Dc Motors Ppt Video Online Download

Speed Control In Dc Motors Ppt Video Online Download

Chapter 29 D C Motor Chapter 29 D C Motor D C Motor C 29 Motor Principle Comparison Of Generator And Motor Action Significance Of The Back E M F Ppt Download

Chapter 29 D C Motor Chapter 29 D C Motor D C Motor C 29 Motor Principle Comparison Of Generator And Motor Action Significance Of The Back E M F Ppt Download

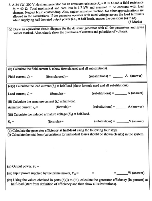
Solved Dc Shunt Generatora 24 Kw 200 V Dc Shunt Generat Chegg Com

Solved Dc Shunt Generatora 24 Kw 200 V Dc Shunt Generat Chegg Com

Lecture Dc Machines

Lecture Dc Machines

Http Www Philadelphia Edu Jo Academics Mlazim Uploads Chapter11 Pdf

Http Www Philadelphia Edu Jo Academics Mlazim Uploads Chapter11 Pdf

Speed Control Of D C Motors Factors Controlling Motor Speed And Speed Control Of Shunt Motors Electric Equipment

Speed Control Of D C Motors Factors Controlling Motor Speed And Speed Control Of Shunt Motors Electric Equipment

Dc Motors Construction Very Similar To A Dc Generator Ppt Video Online Download

Dc Motors Construction Very Similar To A Dc Generator Ppt Video Online Download

Emii

Emii

Dc Drive Fundamentals

Dc Drive Fundamentals

Source : pinterest.com